A debounce refers to the glitches present in a physical circuit when a button or switch is triggered.
When pressed, the signal oscillates for a short time before stabilizing.
A debounce circuit is designed to:
- Filter out glitches
- Produce a clean square wave output
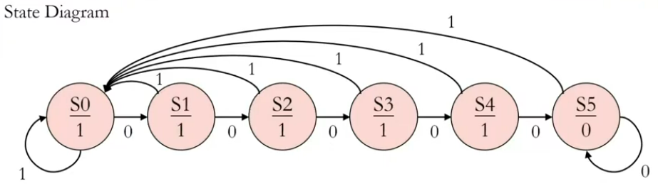
This circuit can be implemented as a Moore Machine.
Concept

- The idle state (before button is pressed) is S0.
- The following states (S1 → Sn) act as a stabilizing filter.
- More states = better debounce effect but also more delay.
State Diagram

Block Diagram

Verilog Implementation
module Debounce_Circuit(
input Din, clk, reset,
output reg Dout
);
reg [2:0] cs, ns;
// Next State Combinational Logic
always @(*) begin
case(cs)
3'd0: ns = (Din) ? 3'd0 : 3'd1;
3'd1: ns = (Din) ? 3'd0 : 3'd2;
3'd2: ns = (Din) ? 3'd0 : 3'd3;
3'd3: ns = (Din) ? 3'd0 : 3'd4;
3'd4: ns = (Din) ? 3'd0 : 3'd5;
3'd5: ns = (Din) ? 3'd0 : 3'd5;
default: ns = 3'd0;
endcase
end
// State Register
always @(posedge clk or negedge reset) begin
if (!reset)
cs <= 3'd0;
else
cs <= ns;
end
// Output Combinational Logic
always @(*) begin
case(cs)
3'd0,
3'd1,
3'd2,
3'd3,
3'd4: Dout = 1'b1; // Stable high before pressed
3'd5: Dout = 1'b0; // Button stable pressed
default: Dout = 1'b1;
endcase
end
endmodule